产品库

类叶升麻苷对照品标准品,类叶升麻苷

产品信息
类叶升麻苷对照品标准品,类叶升麻苷产品用于含量测定,仅供科研,不得用作临床诊断,含 量:HPLC≥98.5%, 薄层色谱鉴别 纯中药提取,是中国大陆唯一法定供应药品标准物质的机构,价格优惠、发货及时。全国销量领先,欢迎广大客户咨询订购。
类叶升麻苷对照品标准品,类叶升麻苷产品优势
产品规格:10mg、20mg、100mg、200mg、500mg、1g、10g( 根据客户需求包装 )
含 量:GX液相色谱法HPLC≥98.5%
产品用途: 本品用于含量测定/鉴定/药理实验等。不用于临床,不属于药品,不能服用。
储 存:2-8°C,阴凉干燥、避光保存;长时间在暴露在空气中,含量会有所降低。
保 质 期 两 年。
类叶升麻苷对照品标准品,类叶升麻苷使用方法
1分析液相色谱
1色谱条件:色谱柱:Shim—Pack ODS一18 (150x4.6mm);流动相:甲醇一水一36%醋酸(65: 28:7);检测波长:252nm;流速:1.2ml/min。

1.2色谱分离:对照品溶液和供试品溶液的 制备:分别精密称取1和3适量,各加流动相 制成每lml含0.2mg的溶液,作为对照品溶液 和供试品溶液。

 分别精密吸取上述溶液各lOIxl,注入液 相色谱仪,得图1、2。


 2.1.3线性关系:精密称取128.4ling(折算成纯 MAG25.62mg)置25ml量瓶,加适量甲醇溶解, 并定容,摇匀。分别吸取上述溶液0.5、1.0、 2.0、3.0、4.0Ⅱd置各5Ⅱd量瓶中,用甲醇定容。 吸取10 l,进样测定,以峰面积(y)为纵坐标, MAG量㈣为横坐标,进行线性回归,得回归方程:Y=I.344xlO 一9.149xl@(r=0.9999)。结 果表明MAG进样量在1.0-8.0 g范围内线性 关系良好。

 2.1.4回收率试验:采用加样回收法。精密吸 取已知含量(0.389mg/m1)的同批号样品6份, 每份2.0ml,分别精确加入已知浓度(0.405mg/ m1)的MAG溶液2.0ml,混匀。精密吸取10pJ,, 按上述色谱条件进行测定,测得6份样品的 平均回收率为95.6%,RSD1.4%。

 2.1.5精密度试验:同一供试品重复进样6次, 测得含量平均值为0.389mg/ml,RSDO.3%。

 2.2制备液相色谱

 2.2.1色谱条件:色谱柱:C 8柱(300~40mm);流 动相和检测波长同“2.1.1”;流速:10ml/min

 2.2.2制备分离:3用流动相配制成20mg/ml的 溶液,进样30ml,收集各流份。用HPLC分析, 确定所要流份。重复进样,合并所要流份,减 压浓缩至近干。加冰醋酸重结晶。得到针状 结晶物。真空干燥,得样品2。

 2.2.3含量测定:将2样品用流动相溶解制成 约0.2mg/ml的溶液,按“2.1.1”色谱条件进行 含量测定。HPLC图谱见图3。


 图3 2的HPLC色谱图

 2.3结构确证熔点测定,温度计未经校正; 元素分析仪为CARLO ERBA 1 106型;热重分 析(TGA)用Perkin—Elmer 7 Series Thermal Analysis System;红外光谱仪为Shimadzu IR- 460型,KBr压片;核磁共振仪为Bruker AM一 400型,以TMS为内标,CD3OD为溶剂;质谱仪 为Varian MAT-711型。


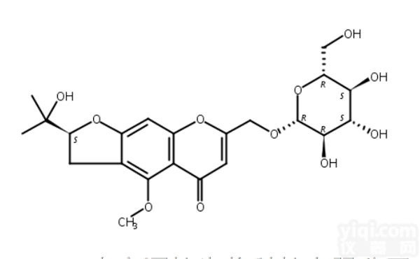
 图4 MAG的结构式

 3结果与讨论

 2经测定,含量≥98.0%(HPLC,归一法) mp214~C(分解)[文献[棚:212-1 17oc(分解)]。

热重分析:证实样品含5分子结晶水。元 素分析:按C42H~NO16~5H2o计算。理论值(%): C54.24,H8.13,N1.51;实测值(%):C55.08, H8.24,N1.04;C、H含量均在理论允许误差范 围内。而N偏低,这可能和铵离子与甘草酸的 结合松散有关。

 2和1分别进行红外光谱、核磁共振、质谱分析,结果见表1。


 以上实验可确证2为MAG,且符合定量 测定对照品的要求。

 实验中曾比较其他流动相(1)甲醇一水 36%醋酸(69:31:O.5);(2)乙腈-2%醋酸(4:6): (3)氢氧化四丁基铵溶液(3.2--)1000)-~醇一乙 腈(60:30:12),以磷酸调pH值6.0。结果以甲 醇一水一36%醋酸(65:28:7)流动相的分离效果 为。因MAG甲醇溶液的吸收波长在 252nm处,故选择252nm作为检测波长。
类叶升麻苷对照品标准品,类叶升麻苷同类产品:
朝藿定A1Epimedin A1140147-77-9HPLC≥98%20mg/支1400.00
宝藿苷I;
淫羊藿次苷IIBaohuoside I113558-15-9HPLC≥98%20mg/支600.00
淫羊藿新苷A;
淫羊藿属苷AEpimedoside A39012-04-9HPLC≥98%5mg/支2200.00
淫羊藿次苷IIcariside I56725-99-6HPLC≥98%20mg/支1400.00
(+)-儿茶素(+)-Catechin Hydrate;225937-10-0HPCL≥98%20mg/支100.00
表儿茶素EC;
Epicatechin490-46-0HPLC≥98%20mg/支150.00
表没食子儿茶素没食子酸酯EGCG989-51-5HPCL≥98%20mg/支140.00
表儿茶素没食子酸酯ECG1257-08-5HPCL≥98%20mg/支360.00
表没食子儿茶素EGC970-74-1HPCL≥98%20mg/支360.00
没食子儿茶素没食子酸酯GCG4233-96-9HPCL≥98%20mg/支480.00
儿茶素没食子酸酯CG130405-40-2HPCL≥98%20mg/支2000.00
茶碱Theophylline58-55-9HPCL≥98%50mg/支100.00
没食子儿茶素GC;
(−)-Gallocatechin3371-27-5HPCL≥98%20mg/支680.00
茶黄素Theaflavin4670-05-7HPCL≥98%20mg/支2000.00
L-茶氨酸L-Theanine3081-61-6HPCL≥98%100mg/支100.00
异芒果苷Isomangiferin24699-16-9HPLC≥98%20mg/支
知母皂苷B2;
知母皂苷BIITimosaponin BII136656-07-0HPLC≥98%20mg/支980.00
知母皂苷A3;
知母皂苷AIIITimosaponin A341059-79-4HPLC≥98%20mg/支640.00
知母皂苷B;
知母皂苷BIII
伪原知母皂苷AIIIAnemarsaponin BIII142759-74-8HPLC≥98%10mg/支1500.00
知母皂苷E;
知母皂苷BIAnemarsaponin E136565-73-6HPLC≥98%10mg/支1500.00
知母皂苷CTimosaponin C185432-00-2HPLC≥97%10mg/支1500.00
新知母皂苷BIIOfficinalisinin I57944-18-0HPLC≥98%20mg/支1200.00
甜菊苷Stevioside57817-89-7HPLC≥98%20mg/支300.00
莱苞迪甙A;
莱苞迪苷ARebaudioside A58543-16-1HPLC≥98%20mg/支1200.00
莱苞迪甙C;
莱苞迪苷CRebaudioside C63550-99-2HPLC≥98%10mg/支2000.00
莱苞迪甙D;
莱苞迪苷DRebaudioside D63279-13-0HPLC≥95.50%10mg/支2000.00
荷叶碱Nuciferine475-83-2HPLC≥98%20mg/支600.00
莲心碱高氯酸盐Liensinine Perchlorate2385-63-9HPLC≥98%20mg/支780.00
莲心碱Liensinine2586-96-1HPLC≥98%20mg/支780.00
甲基莲心碱Neferine2292-16-2HPLC≥98%20mg/支780.00
异莲心碱Isoliensinine6817-41-0HPLC≥98%20mg/支1000.00
紫草素Shikonin54952-43-1HPLC≥98%20mg/支380.00
紫草呋喃AShikonofuran A85022-66-8HPLC≥98%10mg/支1280.00
紫草氰苷Lithospermoside63492-69-3HPLC≥98%20mg/支600.00
紫草酸Lithospermic acid28831-65-4HPLC≥98%20mg/支880.00
五味子甲素Schizandrin A61281-38-7HPLC≥98%20mg/支150.00
五味子乙素Schizandrin B61281-37-6HPLC≥98%20mg/支200.00
五味子醇甲Schisandrin7432-28-2HPLC≥98%20mg/支300.00
五味子酯乙Schizandrol B58546-55-7HPLC≥98%20mg/支800.00
五味子酯甲Schizandrol A58546-56-8HPLC≥98%20mg/支400.00
五味子醇乙Schisandrol B58546-54-6HPLC≥98%20mg/支500.00
五味子丙素Schisandrin C61301-33-5HPLC≥98%20mg/支680.00
五味子酚Schisanhenol69363-14-0HPLC≥98%20mg/支800.00
五味子酚乙Schisanhenol B102681-52-7HPLC≥98%5mg/支2400.00
(-)戈米辛L1(-)Gomisin L1HPLC≥98%2mg/支2000.00
(+)戈米辛M2(+)Gomisin M2HPLC≥98%5mg/支2400.00
戈米辛NGomisin N69176-52-9HPLC≥98%20mg/支1400.00
戈米辛JGomisin J66280-25-9HPLC≥98%20mg/支1800.00
戈米辛GGomisin G62956-48-3HPLC≥98%10mg/支2800.00
戈米辛DGomisin D60546-10-3HPLC≥98%20mg/支1500.00
花柏烯酸β-chamigrenic acidHPLC≥98%10mg/支2800.00
花柏醛Chamigrenal19912-84-6HPLC≥98%10mg/支2800.00
当归酰戈米辛HAngeloyl gomisin H66056-22-2HPLC≥98%20mg/支2980.00
土贝母苷甲Tubeimoside I102040-03-9HPLC≥98%20mg/支120.00
贝母素甲Peimine23496-41-5HPLC≥99%20mg/支420.00
贝母素乙Peiminine18059-10-4HPLC≥99%20mg/支420.00
贝母辛Peimisine19773-24-1HPLC≥98%10mg/支1500.00
哈帕卜宁碱Hapepunine68422-01-5HPLC≥98%5mg/支2980.00
梭砂贝母碱Hupehenine98243-57-3HPLC≥98%20mg/支1000.00
裕贝甲素YubeinineHPLC≥98%20mg/支3600.00
去氢鄂贝定碱;
去氢鄂定碱EbeiedinoneHPLC≥98%10mg/支2980.00
 

信息声明:本产品供应信息由仪器网为您整合,供应商为(上海雅吉生物科技有限公司),内容包括 (类叶升麻苷对照品标准品,类叶升麻苷)的品牌、型号、技术参数、详细介绍等;如果您想了解更多关于 (类叶升麻苷对照品标准品,类叶升麻苷)的信息,请直接联系供应商,给供应商留言!
供应商产品推荐
    您可能感兴趣的产品